Kinh doanh dưới giá vốn, 1 doanh nghiệp BĐS vẫn báo lãi gấp 3 cùng kỳ nhờ đầu tư cổ phiếu
Dù doanh thu hoạt động cốt lõi sụt giảm gần như toàn bộ trong 9 tháng đầu năm 2025, CTCP Phát triển Đô thị Từ Liêm (Lideco, mã: NTL) vẫn ghi nhận lợi nhuận tăng mạnh nhờ nguồn thu tài chính từ tiền gửi ngân hàng và đầu tư chứng khoán.

Trong BCTC quý III CTCP Phát triển Đô thị Từ Liêm (Lideco, mã: NTL) vừa công bố, doanh thu gần 4 tỷ đồng, tăng 4% so với quý III/2024. Tuy nhiên doanh nghiệp kinh doanh dưới giá vốn, khiến lỗ gộp quý III âm gần 630 triệu đồng.
Nhờ lãi tiền gửi ngân hàng và các khoản đầu tư chứng khoán, doanh thu tài chính tăng cao lên gần 58 tỷ đồng, gấp 3,8 lần cùng kỳ năm 2024. Kết quả, NTL lãi sau thuế gần 13 tỷ đồng, gấp 3 lần so với cùng kỳ.
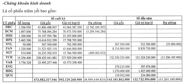
Theo thuyết minh, tại ngày 30/9, NTL đang dành gần 474 tỷ đồng để đầu tư chứng khoán, gấp 3 lần so với hồi đầu năm với các mã DBC, DCM, HHS, HPX, NVL, PAN, SGT, TCH, VAB. Giá trị hợp lý của các cổ phiếu này tại cuối tháng 9 là hơn 592 tỷ đồng.

Danh mục đầu tư cổ phiếu của Lideco. Ảnh: BCTC quý III.
Trước đó, trong quý I và quý II, doanh thu từ hoạt động cốt lõi của doanh nghiệp này đều giảm mạnh. Trong quý I, Lideco ghi nhận doanh thu thuần chỉ đạt gần 3,5 tỷ đồng, giảm tới 90% so với cùng kỳ năm trước. Sang quý II, doanh thu thuần đạt vỏn vẹn 6,1 tỷ đồng, giảm tới 97%, mảng kinh doanh bất động sản lao dốc tới 99,7%, chỉ mang về chưa đến 3 tỷ đồng trong khi cùng kỳ 2024 ghi nhận 838 tỷ đồng. Doanh nghiệp thoát lỗ chủ yếu nhờ đầu tư tài chính với tiền gửi và tiền đầu tư chứng khoán.
Lũy kế 9 tháng, Lideco chỉ thu về hơn 13 tỷ đồng từ hoạt động kinh doanh cốt lõi, giảm sâu 99% so với cùng kỳ năm 2024 với hơn 1.420 tỷ đồng . Lợi nhuận sau thuế cũng giảm mạnh 97%, còn hơn 20,5 tỷ.
Năm 2025, doanh nghiệp đặt mục tiêu thận trọng với tổng doanh thu 80 tỷ đồng, giảm 95% so với năm 2024, lãi sau thuế 24 tỷ đồng, giảm 96%. Với kết quả đạt được này, khép lại 9 tháng công ty thực hiện được 85% mục tiêu lợi nhuận năm nay.
Tại ngày 30/9/2025, tổng tài sản của NTL đạt 1.978 tỷ đồng, giảm 9% so với đầu năm. Tổng nợ phải trả là 243 tỷ, giảm 42%. Công ty không ghi nhận khoản vay và nợ thuê tài chính cả ngắn hạn và dài hạn.
Trong 505 tỷ đồng trị giá hàng tồn kho, có tới 471 tỷ là của dự án Khu đô thị mới Dịch Vọng tại phường Dịch Vọng, phường Yên Hòa, quận Cầu Giấy được UBND thành phố Hà Nội giao công ty làm chủ đầu tư ngày 12/6/1997, tổng mức đầu tư ban đầu là 794,8 tỷ, thời gian thực hiện từ năm 2003-2007. Ngày 30/5/2025 UBND thành phố Hà Nội đã có Quyết định về việc chấp thuận điều chỉnh chủ trương nâng mức tổng vốn đầu tư mới là 5.124,8 tỷ đồng và chấp thuận thời gian hoàn thành đến quý I/2029.
Tại ĐHĐCĐ thường niên 2025, lãnh đạo Lideco cho biết đang xin điều chỉnh chủ trương đầu tư Khu đô thị mới Dịch Vọng - Cầu Giấy, đồng thời hoàn thiện hồ sơ theo yêu cầu của Sở Tài chính và UBND TP Hà Nội, dự kiến xong trong quý II/2025. Mục tiêu là khởi công ngay trong năm dự án chung cư NO11 với tổng vốn đầu tư 1.500 tỷ đồng (huy động 1.000 tỷ đồng). Theo tìm hiểu, dự án có diện tích 4.641 m², gồm một tòa nhà 32 tầng nổi, 2 tầng hầm với 364 căn hộ kết hợp thương mại dịch vụ và văn phòng, mật độ xây dựng 30,9%.







